이번에는 감리교 선교신학자 필립 미도우즈Philip R. Meadows의
‘디지털 문화 속에서의 선교와 훈련’Mission and Discipleship in a Digital Culture에 대하여 소개하려 합니다.
미도우즈는 ‘전도와 제자삼기’, ‘선교적 교회론과 교회개척’, ‘오늘의 문화 속에서 선교하기’, ‘웨슬리 신학과 영성’의 전문가이며, 디지털 문화 속에서의 선교 참여와 서구의 세속화 문제 등에 대한 많은 학술 논문을 발표했는데 최근의 발표는 다음과 같습니다.
- 웨슬리 DNA의 훈련: 21세기 교회를 위한 훈련의 새로운 표현들
The Wesleyan DNA of Discipleship : Fresh Expressions of Discipleship for the 21st Century Church (Grove, 2013) - 세례를 기억하라: 웨슬리 영성의 훈련과 선교
Remembering Our Baptism : Discipleship and Mission in the Wesleyan Spirit (Discipleship Resources, 2017)
이 논문에서 미도우즈가 분류한 디지털 문화에 대한 그리스도교의 세 가지 경향성은 현대 코비드19로 인한 언텍트 사회와 목회에 적용할만한 틀을 제공할 수 있으리라 생각합니다. 디지털 변혁의 파장을 ‘수렴의 관점’perspective of convergence에서 선교와 훈련의 방향으로 재정립할 것을 이 논문에서 그는 제안합니다.
수렴의 관점
저자는 새로 부상하는 디지털 문화가 낡은 미디어(또는 디지털 이전의 방식)을 완전히 대치하게 될 것이라는 ‘디지털 혁명’의 관점에 그는 동의하지 않습니다. 오히려 새 것과 낡은 것, 디지털 미디어와 전통적 미디어가 전례 없는 복합적인 방식으로 상호작용하면서 수렴(융합)할 것이라는 젠킨스Jenkins의 의견에 그는 동의합니다.
(수렴의 문화: 새 미디어와 낡은 미디어가 부딛치는 곳Convergence Culture: Where Old and New Media Collide)

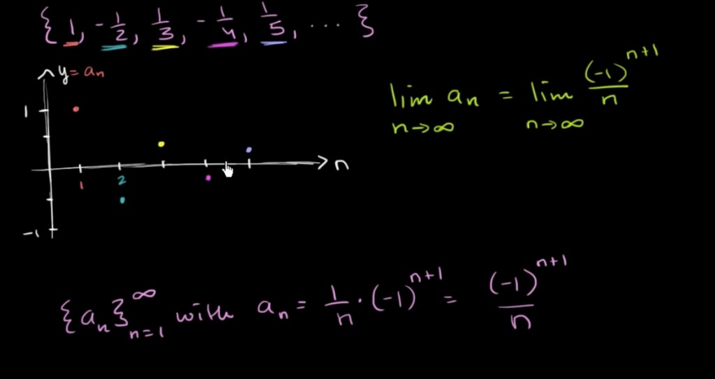
그래프를 보면 x축 위에서 접근하는 선과 아래에서 접근하는 선이 점점 0으로 가까워지는 것을 확인할 수 있습니다. 미도우즈에 의하면 ‘수렴의 원리’principle of convergence란 ‘인간의 삶(관계들와 공동체)은, 얼굴과 얼굴을 마주 대하는 다양한 전통들과 관행들과 마찬가지로, 디지털 미디어로 표현할 수 있다는 것입니다. 그러므로 전통적인 방식과 디지털 방식은 사람들이 살아가는 현실(일상생활)로 점점 가까워져 융합된다는 것입니다.
그에게 이 일상생활이란, 아이들을 교육시키는 것, 일터에서의 협업, 여가시간의 사용, 쇼핑, 세금 납부, 정책 결정 참여 등과 같은 방대한 영역, 방식의 개편이 이루어지는 모든 분야들을 의미합니다. 이 논문의 목적은 1) 그리스도인들의 생활에 ‘디지털 문화’가 새로운 시대의 약속인지 함정에 불과한지를 살펴 보고, 2) 선교와 훈련을 어떻게 할 것인가를 생각하기 위한 광범한 (디지털 문화의) 의미들(암시들)을 탐구해 보는 데에 두고 있습니다.
데이빗 벨의 디지털 문화론
저자는 데이빗 벨David Bell의 ‘사이버문화 개론’An Introduction to Cybercultures에서 소개한 물리적, 상징적, 체험적 설명을 소개하여 ‘디지털 문화란 무엇인가’에 대한 개념을 잡습니다.
1 물리적 접근
디지털 문화에 대한 물리적 설명은 컴퓨터와 디지털 장비와 인터넷의 기원과 발전과 활용으로 오늘의 일상 생활은 점점 더 디지털 미디어의 ‘가상 영역’virtual realm에 잠겨들고 있다고 합니다. 이 접근방식들은 주로 도구들, 양식들, 기능들에 집중하며, 모든 곳을 둘러싸고 있는 ‘유비쿼터스 컴퓨팅’ubiquitous computing 환경, 가정과 일터와 노동과 여가의 상호연결interconnecting의 패턴들을 다음과 같이 설명합니다.
- 디지털 네트웍들이 현대사회의 주요한 조직 모드가 되고 있다.
(판 디에크Van Dijk의 ‘네트웍 사회: 새 미디어의 사회적 측면들’Network Society: Social Aspects of New Media). - 소셜 미디어가 전통적인 사회관계들을 대체하는 현상.
- 아바타avatar가 가상 공간에서 취직도 하고, 땅도 사고, 집도 짓고, 교회도 가고, 결혼도 하고, 정착도 하는, 컴퓨터 시뮬레이션에 관한
(팀 게스트Tim Guest의 ‘제2의 인생: 가상 세계로의 여행'(Second Lives: A Journey Through Virtual Worlds).
수렴의 관점에서 보면 ‘디지털 공간에 거주’ 는 가상 네트워크가 대화식으로 일상 생활의 흐름에 접해 있는 생활에 몰입하는 것을 의미합니다. 이 ‘포스트 데스크탑’ 세계에서 가상공간cyberspace는 ‘저 밖에 있는’ 비현실적인 영역이라기 보다는, 광범한 정보 교환과 사회 관계들을 위하여 디지털 장비들을 통하여 지속적으로 연결되는 일상 생활의 연장선상에서 이해하게 됩니다.
2 상징적 접근
디지털 문화에 대한 상징적 설명은 소설과 예술과 영화를 통하여, 우리와 기술의 관계를 상상하고, 미래에 대한 우리의 희망과 두려움에 관한 설명을 하는데 그 유형들은 다음과 같습니다.
- 트루먼 쇼우Truman Show와 매트릭스Matrix에 나오는 것처럼, 기술과 사회가 융합되어, 배후의 사회정치적 세력들이 디지털 미디어를 사용하여 현체제status quo를 유지하도록 우리를 길들인다는 이야기들.
- 우주 여행Star Trek과 이백년의 사람Bicentennial Man에 나오는 것 같이, 기술과 몸이 융합되어, 디지털 임플란트와 로봇 보철, 핸드헬드 컴퓨터와 블루투스 이어폰, 유전공학, 노노 기술, 로봇 공학의 개발을 통해 인간 유기체에 가까워진 기술, 기계와 인간의 구분이 모호해지는 미래에 대한 이야기들.
- 트론Tron과 잔디깎는 사람Lawnmower Man에 나오는 것 같이, 기술과 생각이 융합되어, 우리의 의식을 업로드하거나 디지털 기술로 낚아채어, 우리 생각(마음)의 소프트웨어를 우리 육체의 ‘웻웨어'(wetware, 기계를 뜻하는 하드웨어에 비하여 우리 몸을 가리킴)로부터 분리하는 것에 관한 이야기들.
이런 상징적 질문들을 통하여 디지털화된 포스트 모던 사람들은, 기술적 숙달과 조작의 환상을 넘어서는 진짜 자아, 진짜 관계, 진짜 공동체 같은 것이 있을까하는 의구심을 갖게 됩니다.
3 체험적 접근
디지털문화에 대한 체험적 설명은 ‘원격 대면’telepresent로 요약할 수 있는데, 시간과 공간으로 떨어져 있는 어딘가에 또는 누군가와 함께 있다는 느낌을 디지털 미디어를 통해 느끼는 것을 말합니다. 이것은 얼굴을 대면하는 만남의 가치를 이러한 ‘원격 대면’의 체험이 재현할 수 있는가 하는 물음을 제기합니다. 아무리 원격 대면의 기술이 발전한다 하더라도, 맛 보고, 냄새 맡고, 만지는 구체적인embodied 친구와의 대면을 대치하기는 어려울 것으로 보이기 때문입니다. 디지털 매체가 다른 사람들과 더 연결되어 ‘항상 켜져 있는’always on환경을 제공하는 것은, 부재(외로움absence)의 감정을 극복하게 해 주고, 시공의 한계들을 넘어 풍부한 체험들을 나눌 수 있게 해 줍니다. 그러나 이 또한 혼자 있기를 갈망하는 사람들과, 텍스트, 트윗, 현재상태 업데이트등의 스트리밍 문화에 떨어지지 않고 주의글 기울이려는 사람들 사이의 체험의 차이가 있기 마련입니다. ‘항상 켜져 있음’의 중독과, 얼굴을 대면하는 심도 있는 만남의 대체가 될 수 있는가 하는 문제가 남아 있게 됩니다.
위의 세 가지 이야기들에 대한 미도우즈의 요약은 이와 같습니다.
요약하면, 디지털 문화는 일상 생활에 가상적 차원을 추가합니다.
한 편으로 디지털 기술은 우리의 구체적(현실의) 관계들을 여러 측면에서 향상시키고 확장시켜 주지만, 우리의 삶을 여러 다른 영역들로 분리시켜 구획화compartmentalize 시켜 버리거나, 가상의 생활 그 자체를 목적(주객전도)으로 삼게 할 수도 있습니다.
다른 한 편으로 디지털 매체의 분리하는disembodying(구체적 형태로부터 자유롭게하는) 효과는 우리의 가상적인 삶에 엄청난 자유와 유연성을 가져다 주지만, 설득력 있는 ‘시뮬레이션’ 뒤에 중대한 손실들을 은닉하고, 온전한 인간 관계들에 덜 정착하도록 유혹할 수 있습니다.
이 ‘구획화’와 ‘분리’의 긴장들은, 성육신하신 구세주의 모본을, 온 삶으로, 선교하는 제자mission-shaped disciples로서 따르려는 이들에게 심각한 도전을 제기합니다.
디지털 문화 속에 거주하기
성육신하신 그리스도의 삶을 따르려는 이들에 대한 위와 같은 디지털 문화의 도전에 대응하는 방식을 분류하는 데에 미도우즈는 프랜스키(Marc Prensky, 디지털 원주민과 디지털 이주민Digital Natives, Digital Natives)의 디지털 원주민과 디지털 이주민에 대한 문화적 연구에 도움을 받았습니다. 그러면서도 누구도 ‘타고나면서부터 디지털’born digital일 수 없고, 태어나면서부터 토착화된inculturated 사람은 없다는 점에서, 선교학적으로 현실 세계와 가상 세계에 대한 입장을, 디지털 외계인digital alien, 디지털 선구자digital pioneer, 디지털 원주민digital native, 세 가지로 분류합니다. 미도우즈에게 독특한 것은 이 세 가지 경향성이 각각 다른 부류의 사람들이라기 보다는 한 사람에게서도 나타날 수 있는 상호 모순되면서도 상존하는 양가 감정 또는 태도로 본다는 것입니다.
1 디지털 외계인
이들은 무비판적인 기술의 도입에 대해, 성서적 그리스도교의 핵심을 깎아내릴 가능성이 있다고 생각하여 저항합니다. ‘기술에 대해 반대’하는 것은 아니지만, 우리의 주요한 이야기들은 성서에 관한 것이어야 하며, 우리는 매우 ‘전통적인’, 디지털 이전pre-digital 뿐 아니라 근대 이전pre-modern한 생활 양식에 자리잡아야 한다고 합니다. 하느님께서는 세상과 관계하시는 매개체로서, 주변 백성들로부터 구별하여 부른 거룩한 백성의 형성을 통해서, ‘몸으로’in the flesh 하느님 현존의 실재reality와 아름다움을 그들이 함께 살아가는 모습을 통해 나타내기를 원하십니다. 이들에게 성서적 교회란 함께 직접 빵을 떼고 서로 발을 씻겨 주는, 더불어 사는 것을 체현하는 성육신은, 가상의 형태로 온전히 표현될 수 없다고 봅니다.
하지만 여기서 미도우즈는 역설적인 질문을 던집니다. 물리적으로 모인다는 것이 그렇다면 서로가 진정 현존really present(서로를 진정으로 느끼는)을 보증하느냐는 것입니다. 지리적으로 같은 곳에 머문다고 해서 사람들이 서로 사랑하는 것을, 얼굴과 얼굴을 직접 대한다고 해서 사람들이 삶을 함께 나누는 것을, 의미하는 것은 아니라는 것입니다. 죄의 영적 뿌리는 실제 영역이나 가상 영역 모두에 뻗어 있어, 하느님의 선교에 우리가 참여하는 것을 약화시킵니다.
2 디지털 파이어니어
이들은 전도와 훈련과 공동체를 탐험(실험)할 수 있는 디지털 공간의 잠재력에 초점을 맞춥니다. 그리스도인 삶의 ‘전통적’ 표현들은 디지털 기술들과 상호작용에 매개될 수 있다고 봅니다. 성서적 그리스도교가 현실과 가상의 양식으로 표현될 수 있다고 봅니다. 디지털 외계인이 디지털 미디어의 힘이 우리의 제자도를 잘못구성mis-shape한다고 저항한다면, 디지털 파이어니어들은 디지털 미디어의 힘을 장악하여 우리의 사역을 재구성re-shaping하는 데에 사용해야 한다고 봅니다. 여기서 가상 교회의 다양한 실험들을 소개합니다.
여기서도 저자는 디지털 외계인의 입장에서 파이어니어에 대한 질문을 던집니다. 아바타가 된다는 것은 성육신한다는 것과 같지 않으며, 복음은 전송하기 편한 비트와 바이트의 정보로 디지털화 할 수 없다는 점, 가상의 복음은 편하고 안전하고 즉각 접할 수 있는 상품commodity으로 왜곡되어, 포스트모던 개인주의의 갈망들을 살찌우며, 영성을 내적 종교 체험의 추구로 축소시키고, 사목을 개인의 영적 여정을 위한 가상의 사역chaplaincy로 바꾸어 버린다는 것입니다. 저자의 놀라운 점은 이런 가상 교회에 대한 비판은 전통적 교회에 거울처럼 반사시켜, 제자도 전반in general(전통적 교회를 포함하여) 소비주의와 개인주의는 오래 앓아 온 역병과 같은 문제였지 않은가라는 질문을 합니다. 저자의 입장에서는 가상의 교회가 실재 교회와 반목하는 것이 아니고, 가상의 교회가 전통적 교회를 대체하는 것도 아니고, 서로 보완하면서 그리스도교 제자도와 공동체의 표현들을 함께 풍성하게 해 줍니다.
3 디지털 원주민
디지털 외계인이 실재embodied 공동체의 중요성을 강조하고, 디지털 파이어니어가 가상virtual 공동체의 잠재력을 강조한다면, 디지털 원주민은 양자(실재와 가상)를 통해 표현되는 영적 우정의 네트웍에 소속하는 것에 대하여 말하고 싶어 합니다. 이에 대하여 저자는 몇 권의 참고 도서를 권해 주고 있습니다.
- 아담 토머스Adam Thomas, 디지털 제자: 가상 세계 속의 진짜 그리스도교Digital Disciple: Real Christianinty in a Virtual World.
- 엘리자벳 드레셔Elizabeth Drescher, 예수님을 사랑한다면 트윗하세요: 디지털 변혁 가운데 교회를 실천하기Tweet if You Love Jesus: Practicing Church in the Digital Reformation.
- 제시 라이스Jesse Rice, 페북 교회: 초연결성이 어떻게 공동체를 재구성하고 있나How the Hyperconnected are Redefining Community.
- 렉스 밀러Rex Miller, 새천년 매트릭스: 교회의 과거를 되찾고 미래를 다시 구성하기The Milenium Matrix: Reclaiming the Past, Reframing the Future of the Church.
이들은 가상 교회들이 전통적 표현들을 단지 흉내내기만(시뮬레이션simulate) 한다면 그런 곳에 참여하지는 않을 것입니다. 이들이 관심있는 것은 진정성authenticity입니다. 디지털 원주민들은, 집에서든, 특별히 마련된 성소에서든, 스타벅스와 같은 만남의 장소든, 페북과 같은 가상의 네트웍이든, 그리스도인들이 친교(상통)을 위하여 모일 때마다 어떻게 교회가 형성되어갔는지 이야기하고 싶어 합니다. 이 모든 것의 공통점은 ‘연결적인(하는) 공간들’connective spaces로서, 함께 흐를 수 있고, 진짜real 사람들이 하느님과 그리고 서로와 변혁적인transforming 관계들을 형성하고 지속할 수 있는 공간이라는 것입니다.
디지털 외계인들이 매체에 저항하고, 디지털 파이어니어들이 메체를 재형성한다면, 디지털 원주민의 기본 입장은 매체를 ‘리믹스’remix, 다시 섞어 재창조한다는 것입니다. 이 리믹스된 관계들에는 실재와 가상의 삶 사이의 구분이 필요가 없습니다. 육신flesh이 가상적 관계들을 통해 원격 대면telepresence이 되는가 하면, 원격 대면이 얼굴과 얼굴을 마주하는 모임들을 통하여 육신이 되기도 합니다.
하느님께서 택하신 매체가 디지털 문화를 위하여 리믹스된다면, 디지털 외계인들은 진짜 상실들이 확신을 주는 시뮬레이션 뒤에 감춰어지고, 일상 생활이 가상 이미지 속으로 재형성되고 말 위험에 대해 지적합니다. 이것이 실재 현실이 방치되는 정도까지는 아닐지라도, 실재 사람들이 육신 안에서 초실재hyper-reality의 습관을 을번시킴에 따라, 깊이와 진정성의 상실을 가져올 수 있다는 것입니다. 다시 말하면 디지털 문화의 위험은 우리가 덜 인격적으로personal 되는 데에 있는 것이 아니라, 일상 생활 가운데 항구적으로 ‘몸을 벗어난 체험’을 하며 살아가는 초인격hyperpersonal이 된다는 데에 있습니다. 즉 (직접 접하는) 이웃들을 위한 얼굴과 ‘항상 켜져 있는’always on(가상의) 관계를 위한 이중적인 얼굴을 갖게 된다는 것입니다. 그래서 건성으로 서핑을 하면서, 계속 부분적으로만 주의를 기울이며, 어느 누구에게도 온전히 대면하지 않을 위혐이 있다는 것입니다. 다시 말하지만, 이것은 덜 관계를 맺는 위험이 아니라, 초친밀함hyperintimate, 즉 계속 (때로는 분별 없이) 공중이 소비할 개인적인 메시지들을 과하게 나눈다는oversharing 것입니다.
디지털 문화에 참여하기
저자 미도우즈는 디지털 문화 속에서 그리스도의 제자로서 사는 것에 관하여 영성, 훈련(제자화), 친교(상통), 전도의 영역에서 분석을 계속합니다. 그의 수렴적 관점에서 보면, 삶의 가상적 차원은, 온전히 현실화된(실재의) 제자도를 대체하기보다는, 증대시키고 확장합니다. 하지만 가상적 생활을 궁극적 목적으로 삼으려는 열망은, 소위 ‘진짜 교회’ 안에 내재하는 영적 질병의 증상으로 보입니다. 공허한 예배, 창백한 친교, 엷은 실천들, 진정한 생활의 것들과 단절된 모든 것들은, 영양부족인 영혼들과 영적 의기소침함을 초래합니다.
저자는 디지털 문화 속에서 전개하는 선교의 미래는, 온라인 세계 속에 가상 교회를 개척하는 데에도, 전통적인 교회를 기술적으로 더 향상시키는 데에 있지 않다고 합니다. 지역 교회가 ‘훈련을 하지 않는다면’not making disciples, 기술을 포용하는 것은 아무 소용이 없습니다. ‘진정한 제자도의 추구’가 없다면, 가상 영역에 진짜 증언도, 가상 영역의 유익을 분별하는 것도, 위험을 감수하는 것도, 의미가 없습니다.
저자는 영성과 훈련과 친교와 전도의 영역에서 이제 구체적인 분석을 시작하지만, 저의 요약은 여기에서 멈추려 합니다. 리뷰의 글로 시작했는데 자꾸 욕심이 나서 세세한 요약을 계속 하게 되었습니다. 독자가 이 논문을 보고 싶은 마음이 들게 하는 것이 리뷰의 역할이라고 한다면, 더 자세한 것은 잠시 여러분들께 맡겨 드리고 싶습니다. 이 논문에는 요약이 담지 못한 생생한 개념정의, 분석, 묘사들과 무엇보다도 풍부한 자료 소개가 있습니다.
코비드19로 인하여 디지털 외계인과 파이어니어의 토론과 논쟁이 점점 늘어가고 있는 이 때에, 미도우즈의 분석과 분류는 전반을 볼 수 있는 지도와 같은 역할을 합니다. 뿐만 아니라 점점 떠오르고 있는 디지털 원주민과 이 문화에 더 익숙해지는 사람들과 경험들이 어떤 특징과 약점을 지닐 수 있는지에 대한 통찰도 도움이 됩니다.
‘어떤 일이 있어도 대면 예배를 계속하겠다’는 극단적인 표현과 또 그 반대의 입장들에 대하여 진영이 나뉘는 것 같은 한국의 현실에서, 외계인과 파이어니어와 원주민의 경향이 모두의 마음 가운데 동시에 존재한다는 그의 통찰은, 우리가 어떤 입장을 악마시하는 것이 아니라 진리를 향해 함께 접근해 가야 한다는 섬세함을 가다듬게 해 줍니다. 물론 이런 논쟁의 가치와 아픈 과정의 필요성을 간과해서는 안되겠지만, 보편적인 그리스도인의 인격과 양심을 한 번 더 기다려 보게 해 줍니다.
무엇보다 중요한 것은 그가 디지털 문화의 쟁점을 외부가 아닌, 진정한 훈련, 그리스도를 따르는 사람들의 제자화에 두고 있는 점입니다. 상황이 어떻게 변하던 이를 더 진정한 교회로 거듭나는 기회로 삼으려는 것입니다. 디지털 문화의 격변 속에서 그리스도인으로서 참여하려면 어떤 영성, 훈련, 친교, 전도를 하여야 할지 더 깊게 생각하고, 저자의 글을 통하여 함께 더 깊어지기를 바라며 이 소개의 글을 마치려 합니다. +


